
Click here for a spreadsheet for more explorations.
The Fibonacci Sequence is the infinite sequence where the first two terms are 1 and the rest of terms are defined as:
![]()
The following spreadsheet lists a few terms:

Let's explore with the ratio of two consecutive numbers in the Fibonacci sequence.


As n gets larger, the ratio approaches one value called phi,
. Phi is also known as the Golden Ratio.
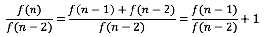
Let's now explore with a new ratio:
 ratio.jpg)
The following spreadsheet lists a few terms. As you can see, as n gets larger, the ratio approaches
.

We can prove that this ratio holds true:


Another common sequence is called the Lucas Sequence. It is similar to the Fibonacci Sequence except that the first term is 1 and the second term is 3. The formula for the following terms is the same as the Fibonacci Sequence formula:
![]()
A list of a few terms can be seen below:

The ratio between the two terms is still
.